Cine manipulează? Apă-Canal Cahul vine cu concretizări privind tariful solicitat, dar și învinuiește presa

Cine manipulează? Apă-Canal Cahul vine cu concretizări privind tariful solicitat, dar și învinuiește presa

După ce ziuadeazi.md a publicat știrea despre faptul că S.A. Apă - Canal Cahul a solicitat ANRE ajustarea/majorarea tarifelor la serviciile prestate, întreprinderea a venit cu o replică, pe Facebook, în care a încercat să lămurească de ce ei solicită ajustarea/majorarea tarifelor. 

Știrea „40,73 lei! Apă- Canal Cahul solicită majorarea tarifului pentru servicii” a stârnit reacții extrem de acide din partea managementului întreprinderii, ce i-a determinat să vină și cu o replică sau concretizare, în care nu au ezitat să învinuiască presa locală, adică redacția www.ziuadeazi.md, de difuzarea unui fals. 

Publicăm textul integral pentru informare, iar comentariile și explicațiile de rigoare le vom da mai jos pe punte. Ca și aperitiv vrem să dăm doar o referire la DEX: SOLICITA, solicit, vb. I. Tranz. 1. A cere (cu stăruință) să i se acorde ceva, a se adresa cuiva cu o cerere; A ruga, a apela la..., a invita să... 2. A provoca, a trezi; a atrage. 3. A supune un corp unei acțiuni fizice (de tracțiune, torsiune, apăsare etc.) care l-ar putea distruge dacă ar depăși o anumită valoare. [Acc. și: (prez. ind.) solicit] – Din fr. solliciter, lat. sollicitare.

Comunicatul Apă - Canal Cahul:

AVIZ privind  ajustarea tarifelor pentru apă și canalizare în mun.Cahul

În urma apariției unor informații în spațiul public privind ajustarea tarifelor pentru serviciile de alimentare cu apă și canalizare, dorim să aducem la cunoștință următoarele precizări importante pentru toți consumatorii:

 1. Ajustarea tarifelor este o procedură legală, obligatorie și reglementată anual de ANRE, NU o decizie arbitrară a întreprinderii.

Solicitarea de ajustare a tarifelor nu este o inițiativă personală a S.A. „Apă-Canal Cahul”, ci o obligație prevăzută în METODOLOGIA de determinare, aprobare și aplicare a tarifelor pentru serviciul public de alimentare cu apă, de canalizare și de epurare a apelor uzate, 

Conform acestor acte normative:

”52. Actualizarea tarifelor se va efectua anual, după prezentarea de către operator a situațiilor financiare pentru perioada de gestiune precedentă și a materialelor necesare pentru actualizarea tarifelor. Actualizarea anuală a tarifelor este efectuată în scopul determinării devierilor tarifare ale operatorului pentru anul „n-1”.”

Precum și HOTĂRÂRE Nr. 286 din 17-10-2018  cu privire la aprobarea Regulamentului privind procedurile de prezentare și de examinare a cererilor titularilor de licențe privind prețurile și tarifele reglementate.

Secțiunea 2, punctu 5. / 2)  d)  în sectorul serviciul public de alimentare cu apă și de canalizare – anual până la 1 iunie.

Așadar, nu este vorba despre o decizie unilaterală, ci despre o procedură impusă de lege și verificată în detaliu de către autoritatea de reglementare (ANRE).

 2. Tarifele menționate în unele articole din mass-media NU reflectă în mod exact datele reale.

Valoarea finală a tarifelor NU este stabilită de întreprinderea noastră. Cifrele vehiculate public în mass-media sunt parte a unei propuneri supuse consultărilor publice, însă:

”Decizia finală privind mărimea tarifelor este luată exclusiv de ANRE, după analizarea tuturor datelor economice, tehnice și sociale.”

Astfel:

• Tariful propus de noi pentru consultări poate fi modificat, ajustat sau chiar redus de ANRE.

• Nu este corect să se prezinte aceste sume ca fiind „finale” sau „aprobate”.

• În prezent, tariful nu a fost încă aprobat.

Rugăm consumatorii să consulte sursele oficiale ANRE pentru informații actualizate și să evite interpretările premature sau greșite.

 3. Angajările din fonduri municipale (doi ingineri și un traducător) NU țin de competența S.A. „Apă-Canal Cahul”.

Am observat că în articol se menționează alocarea de fonduri de către Consiliul municipal Cahul pentru angajarea a doi ingineri și un traducător, fapt ce poate crea impresia că acești angajați vor lucra pentru Apă-Canal Cahul.

Dorim să precizăm clar:

”Aceste angajări NU sunt făcute de către întreprinderea noastră și NU vizează direct personalul S.A. „Apă-Canal Cahul”.”

Este vorba despre o decizie a administrației publice locale privind implementarea unor proiecte municipale, iar întreprinderea nu are competența de a gestiona sau decide asupra acestor posturi.

De menționat că postarea este urmată de o imagine cu sigla campaniei „Stop Fals!” a Asociației Presei Independente, „fapt care poate  crea impresia” că informațiile publicate în articolul www.ziuadeazi.md sunt false. Vrem să facem o comparație pe text și să vedem cine manipulează (o altă învinuire, dar trecem peste asta). 

Text Apă- Canal

Anunțuri de pe piatasud.md

„1. Solicitarea de ajustare a tarifelor nu este o inițiativă personală a S.A. „Apă-Canal Cahul”, ci o obligație…” 

Text ziuadeazi.md 

„Ajustarea tarifelor se face anual de către ANRE la solicitarea operatorului economic”

Aici o mică remarcă: Ajustarea nu neapărat înseamnă majorare. ANRE analizează solicitarea de ajustare și, în baza unor mecanisme clare, cum o numește operatorul „METODOLOGIA”, stabilește tariful. La stabilirea tarifului sunt luate în calcul mai multe date economice oferite de operator cum ar fi cheltuielile de retribuire a muncii, investiții, cheltuieli operaționale etc. 

Text Apă- Canal

„Tarifele menționate în unele articole din mass-media NU reflectă în mod exact datele reale….”

Text ziuadeazi.md

„Pe site-ul instituției a fost supus consultărilor publice un demers în acest sens de la Apă - Canal Cahul”.

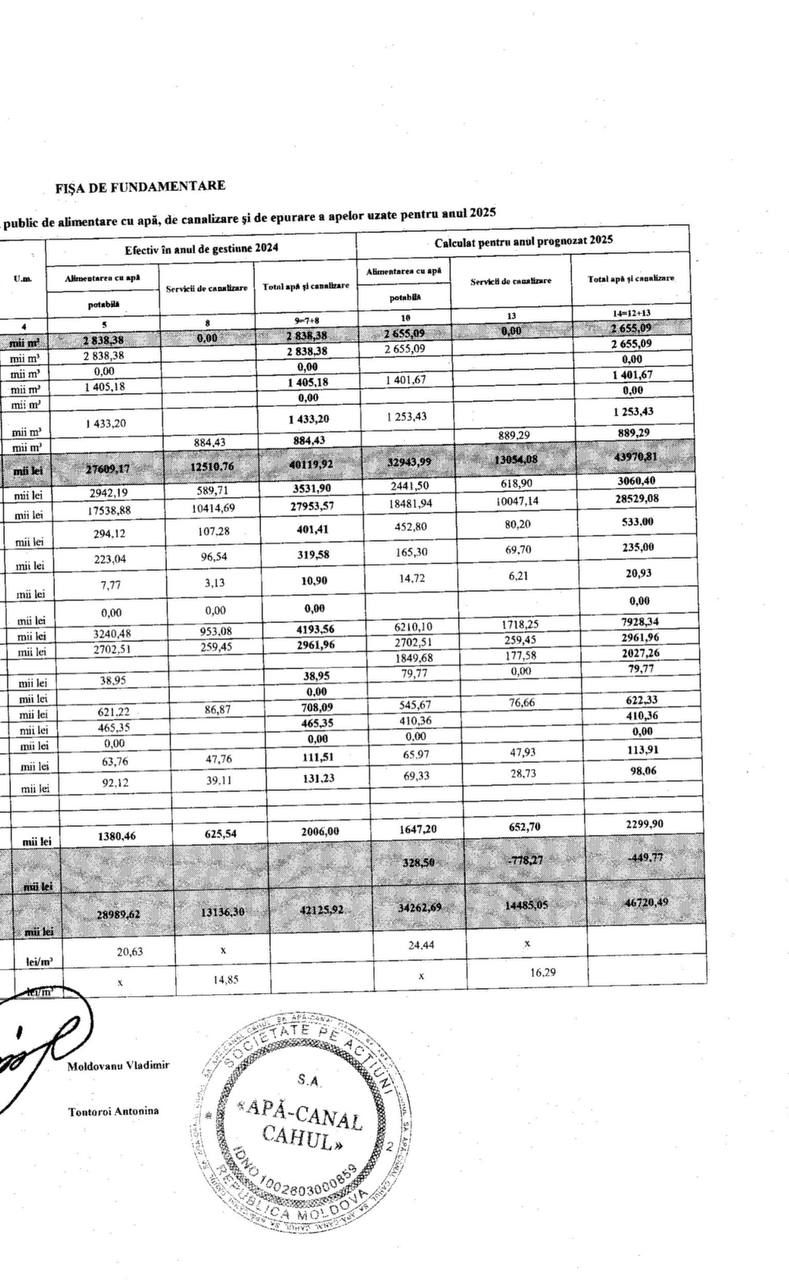
Am oferit un link la solicitarea Operatotului, care este publică pe site-ul ANRE. Nu am vrut să încărcăm știrea cu imagini, dar lipsa bunului simț a unor oarecare agenți economici ne obligă să o facem. 

IMG 0258

IMG 0260

IMG 0259

Acum apare întrebarea: a solicitat Apă-Canal Cahul majorarea tarifului pentru servicii la la 24,44 lei și 16,29 lei pentru un metru cub de apă și respectiv canalizare? Cum informația menționată NU reflectă în mod exact datele reale? Dar care sunt datele reale în situația când e scris negru pe alb și semnat de Directorul Interimar? Și care sunt tarifele reale căci nu am mai văzut o cifră în postarea voastră? Dar trecem peste asta, întrebările evident că sunt retorice. 

Text Apă- Canal

  • Tariful propus de noi pentru consultări poate fi modificat, ajustat sau chiar redus de ANRE.
  • Nu este corect să se prezinte aceste sume ca fiind „finale” sau „aprobate”.
  • În prezent, tariful nu a fost încă aprobat.

Text ziuadeazi.md 

„Astfel, consumatorii, dacă tarifele vor fi aprobate conform solicitărilor, vor achita 40,73 lei pentru un metru cub de apă și canalizare”. 

Se crează așa o impresie că autorii lămuririi Apă-Canal Cahul nu au citit textul știrii ori au dorit doar să schimbe accentele. Un pas greșit, chiar dacă conducerea redacției este blocată și nu vede postările operatorului pe Facebook, sunt și alte posibilități de a le vedea. 

Text Apă- Canal

„Angajările din fonduri municipale (doi ingineri și un traducător) NU țin de competența S.A. „Apă-Canal Cahul”.

Text ziuadeazi.md 

La aprobarea Bugetului pentru anul 2025, Consiliul municipal Cahul a alocat peste 4 milioane de lei pentru investiții capitale în rețeaua de apă și canalizare în mun. Cahul. Alte 1,3 milioane lei au fost alocați pentru angajarea a 2 ingineri și un traducător.

Cum și a fost menționat în publicația Apă-Canal Cahul, se poate crea impresia, dar nu știu de ce impresia s-a creat doar despre cei 2 ingineri, care ar trebui, din câte ținem minte, la angajare să cunoască și limba engleză, și care potrivit unor păreri din interiorul Apă-Canal Cahul nici idee nu au la ce etapă este proiectul și ar primi bani degeaba. 

Păcat că nu s-a scris nimic de cele 4 milioane de lei alocate din banii publici pentru lucrări de schimbare a unor porțiuni de trasee, care posibil ar diminua pierderile exorbitante de apă, bani care nu sunt nici la moment executați, nici licitație desfășurată și posibil vor forma soldul disponibil la 01.01.2026. Aici Apă Canal Cahul tot nu are nici o atribuție și nu va gestiona fondurile, urmează să le gestioneze Primăria Cahul. De ce oare nu au invocat cei de la întreprindere acest moment, sau nu vor să supere pe cineva care pune like-uri la postări? 

Tarifele sunt mici, avem unde crește?

La ora 17:20 întreprinderea publică pe Facebook o altă postare în care menționează că întreprinderea „practică unele dintre cele mai mici tarife pentru serviciile publice de alimentare cu apă și canalizare din întreaga republică”. 

Și încă un moment important, cu câteva ore înainte de a apărea știrea noastră, Consilierul Municipal  Vasile Vanțevici, de asemenea a publicat informația despre solicitarea Apă-Canal Cahul de a ajusta/majora tarifele. Cu toate acestea, în replica Apă-Canal nu este menționat nimic despre declarațiile Consilierului… straniu. Cu atât mai mult că Vasile Vanțevici a venit și cu o solicitare ca Întreprinderea să-și retragă solicitarea de majorare/ajustare a tarifelor.  

ziuadeazi.md
Susțineți financiar proiectul nostru